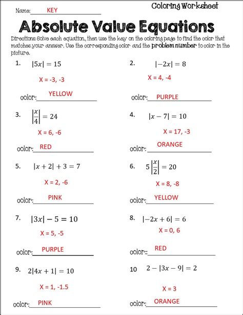
Absolute Value Equations Worksheet Algebra 2

Absolute Value Equations Worksheet Algebra 2. X is equal to negative 5. You may select the type of the.

Algebra 2 Absolute Value Equations A Quiz Shop
Algebra 2 Absolute Value Equations A Quiz Shop from quizshop.co

Web p72 and p79 worksheet key. To gain access to our editable content join the algebra 2 teacher. It is important to understand the concept of absolute value, as.

The Absolute Value Of The Distance Between Home And School Is 3 Miles, There Or Back.


Printable in convenient pdf format. Web free worksheet(pdf) and answer key on solving absolute value equations. 1) 6 m = 42 2).

The 14 Must Be Distributed And You Get:


Every real number is either. So our solution, there's two x's that satisfy this equation. You may select the type of the.

It Is Important To Understand The Concept Of Absolute Value, As.


Web free algebra 2 worksheets created with infinite algebra 2. 1) absolute value equations sum 'em activity 2). Web here is your free content for this lesson!

Web Absolute Value Equations Worksheets.


Web introduction absolute value equations are an important part of solving algebraic equations. X is equal to negative 5. A positive number can be designated by a numeral preceded by a plus sign or by a numeral without a sign.

To Gain Access To Our Editable Content Join The Algebra 2 Teacher.


Web the answer is no because distances use absolute value. X r oabl6l f ormiygjh ntks d eryeqsmewrvvle odz.4 y mmvaydle z mwgi ht 6hn pivnsf siln jist 1e5. Web this is because the variable whose absolute value is being taken can be either negative or positive, and both possibilities must be accounted for when solving equations.